合作客戶/
拜耳公司 |
同濟大學 |
聯合大學 |
美國保潔 |
美國強生 |
瑞士羅氏 |
相關新聞Info
推薦新聞Info
中性聚合物鍵合劑(NPBA)與奧克托今(HMX)界面張力測定及應用效果(三)
來源:兵工學報 瀏覽 1347 次 發布時間:2025-06-13
2.2 NPBA與HMX界面作用的實驗結果
2.2.1 NPBA與HMX的粘附功和界面張力
采用動態接觸角測試儀的Wilhelmy吊片法和Modified washburn法,分別測試了合成的3種NPBA和HMX在不同液體中的接觸角θ,結果見表3.
表3 NPBA和HMX在不同液體中的接觸角
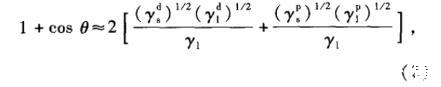
由表3中測試結果,應用Owens-Wendt-Rabel-Kaelble(OWRK)表面張力計算方法,分別擬合得到3種NPBA和HMX的表面張力γ、極性分量γp和非極性分量γd(結果見表4),計算公式如下:
表4 NPBA和HMX的表面張力
由表4中測試結果,計算得到3種NPBA分別與HMX之間的界面張力γAB為
計算得到3種NPBA分別與HMX之間的粘附功WAB.界面張力和粘附功計算結果見表5.
表5 NPBA與HMX之間的界面張力和粘附功
由表5可知,NPBA3與HMX的粘附功最大(113.34 mN/m),且界面張力最小(4.81 mN/m),表明3種NPBA中NPBA3與HMX的浸潤性(粘結性)最好,且外力破壞粘接界面需做的功(粘結強度)最大。與NPBA1相比,雖然NPBA2與HMX的粘附功相對較大(分別為75.06 mN/m和78.38 mN/m),但其界面張力相對也大(分別為21.51 mN/m和24.12 mN/m),表明NPBA2與HMX的粘結強度大于NPBA1,但浸潤性略弱。
從上述實驗結果可知,用—COOCH2CH2OH基團取代—COOCH3基團(用HEA取代MA鏈節),或增加—CN基團數量(增加AN鏈節),NPBA更容易吸附于HMX顆粒表面,增強了二者間的粘結性;同時,增加—CN基團數量,或用—COOCH3基團取代—COOCH2CH2OH基團,有利于NPBA在HMX顆粒表面浸潤和鋪展,增強了二者間的親和性。
2.2.2 NPBA對推進劑力學性能的影響
分別在-40℃、20℃、50℃溫度條件下,采用單向拉伸實驗得到了含與不含NPBA推進劑的最大拉伸強度σm和最大伸長率εm,其結果見表6.
由表6可知,加入NPBA后,推進劑的強度得到不同程度的提高,表明3種NPBA均有效吸附于HMX顆粒表面,并與固化劑發生交聯反應,從而顯著提高了推進劑的強度。3種NPBA中,NPBA3提高推進劑強度的程度最為顯著,NPBA2次之,NPBA1再次,與粘附功的大小次序一致。
此外,比較表6中的伸長率數據可知,相對于NPBA1和NPBA3,—OH基團數量最多的NPBA2提高推進劑伸長率的程度最小,原因可能是—OH基團數量過多導致鍵合劑與粘結劑過度交聯,反而對推進劑的伸長率造成不利影響。
表6 NPBA對推進劑力學性能的影響
上述實驗結果與2.1節中模擬結果相符,結合能與粘附功之間存在對應關系,即NPBA與HMX的結合能越大其粘結性能越好,增加推進劑強度的效果越好。
3結論
1)HMX與NPBA界面原子間存在近程、遠程范德華力和氫鍵作用力,這些作用力的強弱與—CN基團的數量、—COOCH2CH2OH基團的數量及其空間位阻作用有關。
2)NPBA與HMX的粘附功與結合能之間存在對應關系,即二者間的粘附功越大其結合能越大;用—COOCH2CH2OH基團取代—COOCH3基團,或增加—CN基團數量,整體上增強了NPBA與HMX晶體的界面作用力,使復合體系結合能增加,推進劑強度增大。
3)本文采用的MD模擬方法對于研究NPBA與HMX之間的界面作用具有較高的準確度,可用于指導NPBA分子設計。





