合作客戶/
拜耳公司 |
同濟大學 |
聯合大學 |
美國保潔 |
美國強生 |
瑞士羅氏 |
相關新聞Info
推薦新聞Info
小桐子生物柴油制備方法、氧化程度與表面張力的相關性分析(一)
來源:《石油學報(石油加工)》 瀏覽 976 次 發布時間:2025-08-15
摘要:采用Rancimat法在110℃下對小桐子生物柴油進行不同時間的加速氧化降解,利用GC-MS技術、酸值滴定等手段研究了用表面張力檢測燃料氧化程度的適用性。通過對實驗數據分析表明:小桐子生物柴油經加速氧化后生成醛、酮、相對分子質量較高的含氧化合物及可溶性聚合物;其表面張力、酸值以及密度在氧化14h后分別增加了9.1%、551%和3.8%;經相關性分析得到氧化后小桐子生物柴油表面張力與酸值的相關系數為0.99。基于此提出了4種利用表面張力預測小桐子生物柴油氧化程度的模型,并采用留一交叉驗證法進行了檢驗分析,通過比較均方根誤差(RMSEP)值、相關系數R值,最終確定對數模型精確度以及相關性較高,其RMSEP值以及相關系數R值分別為0.0937、0.9879,并且酸值預測值與實際值的誤差為2.95%,說明通過表面張力可以預測小桐子生物柴油的氧化程度。
1實驗部分
1.1實驗材料
甲醇、氫氧化鉀、95%(質量分數)乙醇,均為分析純,天津化工廠產品。標準0.1 mol/L氫氧化鉀-乙醇溶液,自制,稱取8g氫氧化鉀,置于聚乙烯容器中,加5 mL超純水溶解,用乙醇(質量分數95%)稀釋至1000 mL,密閉放置24h,用塑料管虹吸上層清液至另一聚乙烯容器中。
1.2實驗方法
1.2.1生物柴油制備方法
參照文獻方法制備小桐子生物柴油,采用循環氣相酯化-酯交換-甲醇蒸氣蒸餾精制連續制備工藝,制得的粗制生物柴油采用瑞士Buchi公司的V-850型旋轉蒸發儀用蒸餾水多次洗滌,洗去其中的甘油和堿性催化劑,再經過干燥、過濾得到精制生物柴油。
1.2.2氧化方法
小桐子生物柴油的氧化采用Rancimat法,即利用瑞士萬通873專業型Rancimat生物柴油氧化安定性測定儀,在110℃下以10 L/h的流速通入空氣,加速小桐子生物柴油的氧化,氧化過程中每隔2 h取樣、測試,時間跨度為0~14 h。
1.2.3表面張力測量方法
根據SY/T 5370-1999標準測量樣品的表面張力。采用Quantachrome公司的UPY-31型密度計測定不同氧化時間下生物柴油的密度。采用芬蘭Kibron公司生產的Delta-8全自動高通量表面張力儀測定氧化前后生物柴油的表面張力。
1.2.4酸值滴定
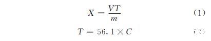
根據GB/T 264-1983方法測定樣品的酸值(X,mgKOH/g),計算公式見式(1)、(2):
式中:V為所消耗氫氧化鉀-乙醇溶液體積,mL;m為試樣的質量,g;T為氫氧化鉀-乙醇溶液的滴定度,mgKOH/mL;C為氫氧化鉀-乙醇溶液的摩爾濃度,mol/L。
1.2.5 GC-MS檢測
采用美國Finnigan公司Mat4515型氣相色譜質譜聯用儀測定不同氧化時間下生物柴油的組成,GC-MS檢測樣品參數:DB-WAX型色譜柱,進樣量0.1μL,He載氣;程序升溫時,初始溫度為150℃,保持1min,以5℃/min的速率升溫到210℃,再以3℃/min的速率升溫到240℃,保持10 min;GC-MS測樣之前,用正己烷進行預處理。
2結果與討論
2.1小桐子生物柴油氧化后組成分析
小桐子生物柴油氧化期間GC-MS組成分析結果見表1。由表1可知,小桐子生物柴油的主要成分是棕櫚酸甲酯、油酸甲酯、亞油酸甲酯,歸一化后的質量分數為95.78%。在氧化過程中,含有2個碳碳雙鍵的亞油酸甲酯的含量降低,氧化0h的小桐子生物柴油亞油酸甲酯(C19:2)質量分數為42.21%,加速氧化14h,質量分數為0,說明亞油酸甲酯幾乎完全氧化,這是因為多不飽和脂肪酸甲酯比單不飽和脂肪酸甲酯更容易氧化。與單不飽和脂肪酸相比,亞油酸甲酯的碳鏈含有更多的雙烯丙基位點,雙烯丙基質子對氧自由基的攻擊敏感,導致分子發生氧化,從而形成過氧化合物,過氧化合物進一步氧化轉化成醛、酮等化合物。
注:n為碳原子數,m為不飽和度
2.2表面張力、酸值隨氧化時間的變化趨勢及其相關性分析
不同氧化時間小桐子油生物柴油的酸值、表面張力與密度的測定結果如表2所示。從表2可得,氧化14h的小桐子生物柴油的酸值由未被氧化時的0.31 mgKOH/g增加到2.02 mgKOH/g,增加了551%,超過ASTM D6751(2001)中規定生物柴油酸值的最大值(0.5 mgKOH/g)。這是由于小桐子生物柴油在氧化后期形成了一些醛類,如己醛和壬醛(見表1),這些醛類經過復雜的二次氧化反應轉化為酸類物質,從而導致酸值增加;同時,生物柴油會吸收水分,導致酯的水解,也可使酸值增加。
密度的變化是影響生物柴油的表面張力(σ)的重要因素,兩者之間的關系如公式(3)~(5)所示:
式中:M為鉑環與被測界面脫離前的最大拉力值,mN/m;F為修正系數;rho_0為水在25℃時的密度,g/cm3;rho_1為試樣在25℃時的密度,g/cm3;P為常數;r_0為鉑環的平均半徑,mm;r_1為鉑絲的半徑,mm。





